멀티 쓰레드 환경
하나의 Java 어플리케이션이 돌고있다고 가정했을때 한명이 아닌 여러 명이 접근할 때 또는 한명이 여러 가지의 task를 병렬로 처리해야할 때를 통틀어 멀티 쓰레드 환경이라고 합니다. 하지만 쓰레드는 무한정 생성해서 사용할 수 없기 떄문에 사용 가능한 유휴 쓰레드와 사용중인 활성 쓰레드의 개념으로 분류할 수 있습니다. 따라서 운영체제는 유휴 쓰레드를 최적화 시켜 과도한 자원의 낭비를 막고 시스템의 오버헤드를 방지해야만 합니다.
이 과정에서 하나의 프로세스 내에서 스택 영역을 제외한 데이터, 힙 영역을 공유하여 사용하기 떄문에 여러 스레드가 동시에 같은 변수나 자료구조에 접근하면 경쟁 상태(race condition), 데이터 손상이 발생할 수 있습니다.
이를 위해 운영체제는 공유 자원에 대한 읽기·쓰기 동기화를 위해 뮤텍스(Mutex), 세마포어(Semaphore), 스핀락(SpinLock) 같은 락 메커니즘을 사용합니다.
하지만 이떄 동기화를 잘못 설계하게 되면 모든 유휴 쓰레드가 공유 자원에 대한 접근 자체가 불가능한 교착상태(Dead Lock) 이 발생하게 됩니다.
데드락(식사하는 철학자 문제)
데드락을 설명하는 가장 대표적인 예시 식사하는 철학자 문제를 들여다보겠습니다.
- 상황
- 원탁에 다섯 명의 철학자가 앉아 있고, 각자 앞에는 스파게티 접시가 하나씩 있습니다.
-
접시 사이사이에는 포크가 놓여 있는데 철학자 N명일 때 포크도 N개입니다.
- 식사를 하려면 양쪽에 있는 두 개의 포크가 모두 필요하고 생각할 때는 포크를 내려놓습니다.
- 규칙
-
철학자는 생각 → 배고픔 → 포크를 한 개씩 집음 → 식사 → 포크 내려놓기 → 생각 순으로 행동을 반복합니다.
- 포크는 한 번에 하나의 철학자만 사용할 수 있습니다(상호 배제)
- 데드락 발생 시나리오
-
모든 철학자가 동시에 배고파져서 같은 순간에 왼쪽 포크를 먼저 집는다고 가정해 보겠습니다.
-
그러면 각자 왼쪽 포크만 집은 상태에서 오른쪽 포크가 필요하다며기다리게 됩니다.
-
하지만 오른쪽 포크를 가진 철학자는 없으니 모두가 영원히 기다리게 되고 결국 누구도 포크를 들지 않는 교착상태가 발생합니다.
마지막에 따라서 모든 철학자가 먹고싶은 상태인데도 포크를 들 수 없는 상황이 오게 됩니다.
데드락의 특징
위에 식사하는 철학자 문제를 예시를 통해서 데드락의 특징을 4가지 뽑아낼 수 있을 것 같습니다. 아래는 실제로 데드락이 발생할 수 있는 네가지 필요조건입니다.
- 상호 배제(mutual exclusion) 한 번에 한 쓰레드만이 공유 자원을 사용할 수 있고 다른 쓰레드가 공유자원을 요청하면 요청 쓰레드는 자원이 방출될 때까지 반드시 지연됩니다.
- 점유 대기 원칙(hold & wait) 쓰레드는 최소한 하나의 자원을 점유한 채 현재 다른 스레드에 의해 점유된 자원을 추가로 얻기 위해서 반드시 대기해야합니다.
- 비선점(non preemption) 운영체제가 자원을 강제로 뺏을 수 없고 점유하고있는 쓰레드가 task를 종료한 후에 자발적으로 마쳐야만 합니다.
- 순환 대기 원칙(circular wait) 대기하고있는 쓰레드의 집합이 연쇄적으로 자원을 기다리며 대기하는 원칙입니다.
자원 할당 그래프
그렇다면 위에서 얘기했던 공유자원이란 무엇이고 데드락이 발생하는 상황을 그림으로 살펴보겠습니다.
자원할당 그래프의 구성 요소

- 쓰레드 노드(Thread Node): (P1, P2, P3…)
여기서 P1·P2·P3는 실행되고 있는 쓰레드를 의미합니다. - 자원 노드(Resource Node): 여기서 직사각형 노드(R1, R2, R3…)은 공유 자원을 의미하고 직사각형 노드 안에 점은 해당 자원의 인스턴수의 수를 의미합니다.
- 요청 간선(Request Edge): 쓰레드 → 자원을 요청하고 있는 상태입니다.
- 할당 간선(Assignment Edge) 자원 → 쓰레드에서 할당 하고있는 것을 의미합니다.
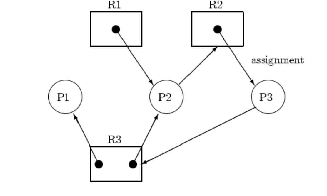
사이클이 있어 데드락이 발생하는 경우
위에 그림은
- 각 자원(R1, R2, R3)의 인스턴스 수가 1개뿐이라서
- P1 → R1 → P2 → R2 → P3 → R3 → P1 형태로 사이클 즉 순환 대기가 형성됩니다.
- 따라서 어느 누구도 다음 자원을 얻지 못하므로 서로 무한 대기에 빠져 데드락이 발생합니다.
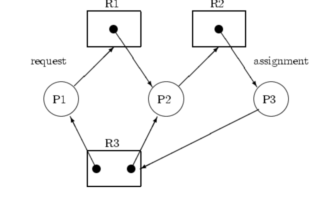
사이클이 있지만 데드락이 발생하지 않는 경우
반면 위에 그림에서는
- R3 인스턴스가 2개여서 여유 자원이 하나 더 있습니다.
- 사이클은 존재하지만 여분의 R3를 이용해 어느 한 쓰레드가 먼저 자원을 할당받고 완료 후 자원을 반납할 수 있습니다.
- 이로 인해 나머지 쓰레드들도 차례로 진행 가능하여 데드락이 발생하지 않습니다.
데드락 처리 방법(교착상태 회피)
교착상태 회피(Deadlock Avoidance)는 시스템이 안전 상태(safe state)를 유지하도록 동적으로 자원 할당을 결정하는 기법입니다. 대표적인 알고리즘으로 뱅커스 알고리즘(Banker’s Algorithm)이 있습니다.
- 안전 상태(Safe State) 검사
- 현재 할당 상태에서 모든 쓰레드가 순차적으로 필요 자원을 모두 얻고 실행을 완료한 뒤 자원을 반납할 수 있는 상태입니다. 즉, 어떤 순서로든 잔여 자원을 충분히 나눠주어 모든 쓰레드가 끝날 수 있으면 안전 상태라고 부를 수 있습니다.
- Banker’s Algorithm 교창 상태를 회피할 수 있는 방법 중 가장 유명한 알고리즘인 Banker’s Algorithm을 쉽게 설명해보면
은행원이 고객(쓰레드)에게 돈(자원)을 빌려줄 때 이 대출을 해 줬을 때 결국 모두가 돈을 다 갚고 안전하게 끝낼 수 있는 지 미리 확인해 보는 방식이라고 생각할 수 있습니다.
-
고객의 대출 요청
- 프로세스 $P_i$가 추가 자원 $R_j$을 빌려 달라고 요청합니다.
-
일단 빌려준다고 가정하기
-
은행 시스템은 실제로 돈을 주기 전에, 만약 내가 이만큼을 빌려준다면이라는 가정 하에
- 남아 있는 돈(잔액, Work)을 줄이고
- 고객이 앞으로 필요로 할 최대금액(Need) 테이블도 갱신합니다.
-
-
안전하게 모두 갚을 수 있는지 미리 시뮬레이션
- 모든 고객을 (Finish[i] = false)로 표시하고 시작합니다.
-
남은 돈(Work)으로 “최대 필요금액(Need)이 현재 잔액 이하인” 손님을 찾아서
- 이 손님이 빌린 만큼 다 쓰고 돌려준다면이라고 가정하고
- 잔액 Work에 그 손님의 이미 받은 대출금액(Allocation[i])을 다시 더해줍니다.
- 그리고 Finish[i]를 true(갚았음)로 표시합니다.
- 이 과정을 반복해서 모두 Finish[i]가 true가 되면, 안전 상태를 기록합니다.
-
결정 내리기
- 안전 상태라면 자원을 빌려줍니다.
- 안전하지 않다면 대출을 거절하거나 기다리게 해서, 교착 가능성을 막습니다.
하지만 위의 Banker’s Algorithm은 자원 할당 시 마다 검사해야해서 오버헤드가 발생할 가능성이 매우 높고 프로세스의 최대 사용량을 미리 알고있어야 하기때문에 실제로 사용하기엔 한계점이 명확합니다.
데드락 처리 방법(교착상태 예방)
교착상태 예방(Deadlock Prevention)은 교착이 발생하기 위한 네 가지 필요조건 중 하나 이상을 사전에 제거하여 교착 자체를 방지하는 전략입니다. 대표적인 기법은 다음과 같습니다.
- 상호 배제 조건 제거
- 대부분의 자원은 공유 불가이므로 현실적으로 완전 제거 불가합니다.
- 대신 읽기 전용 자원(Read-only)은 공유 가능하도록 설계하는 것이 좋습니다.
- 점유 대기 조건 제거
-
프로세스가 자원을 얻기 전에는 반드시 모든 필요한 자원을 한꺼번에 신청하게 함
- 예: Pi가 R1, R2가 필요하면 한 번에 요청
- 부족 시 아무 자원도 할당하지 않으므로 Hold & Wait 불발됩니다.
- 비선점 조건 제거
-
이미 할당된 자원을 다른 프로세스가 선점할 수 있게 허용할 수 있게 합니다.
-
예: 우선순위 반전 해결 기법처럼 강제 회수 후 나중에 재할당하여 프로세스가 필요 자원을 독점하지 못하게 합니다.
- 순환 대기 조건 제거
- 자원에 순서(ordering)를 부여하고 높은 순서의 자원만 요청하도록 제한하는 방법입니다.모든 프로세스는 자원 번호가 큰 순서로만 점유하여 순환 대기가 불가능하도록 자원 요청 방향을 일관되게 설계하는 방법입니다.
Thread Safe란?
Thread Safe란 다중 스레드가 동시에 접근해도 의도한 대로 동작하며, 경쟁 상태(race condition)나 데이터 손상이 발생하지 않는 성질을 말합니다.
- 보장 대상: 메서드, 클래스, 라이브러리 단위로 “한 번에 여러 스레드가 호출해도 안전”
주요 기법
-
동기화(synchronization)
- 뮤텍스(Mutex), 모니터(Monitor), synchronized 블록/메서드, ReentrantLock 등
- 임계 구역(Critical Section)을 설정하여 한 번에 하나의 스레드만 진입할 수 있게하는 방법입니다.
-
불변 객체(Immutable Objects)
- 생성 후 내부 상태를 변경하지 않으므로 동기화 불필요합니다.
- 예:
String, Java의LocalDateTime
-
원자적(Atomic) 연산
- 자바의
AtomicInteger,AtomicReference등 - CAS(Compare-And-Set) 기반으로 동기화 비용 최소화할 수 있습니다.
- 자바의
-
스레드 로컬(Thread-Local) 저장소
- 각 스레드가 독립적인 복사본을 사용하도록 분리하여 사용합니다.
ThreadLocal<T>이용